Abaque Logo
All-Flo Logo
Almatec Logo
Blackmer Logo
Ebsray Logo
em-tec Logo
Griswold Logo
Hydro Systems Logo
Malema Logo
Mouvex Logo
Neptune Logo
Quattroflow Logo
Wilden Logo
Quattroflow Biopharma Pump QF4400S-HT Compact Quattroflow Biopharma Pump QF4400S QF4400MU-OEM

Quattroflow 4400S Max. Flow Rate 5000 lph

QF4400S

  • Stainless steel pump chamber
  • Separate control box for manual operation available

QF4400S-HT

  • Integrated pump chamber, pump drive, motor and control box
  • Extended turndown ratio
  • Compact design

QF4400MU OEM

  • OEM design for easy skid integration
  • Extended turndown ratio
  • Global power supply and motor certification
  • Multiple accessories (VFD, Cable, Gasket) available
  • Flange adapters for additional motor types available

Technical Data

QF4400S Standard Motor HT Standard Motor QF4400MU OEM
Flow Rate Maximum Eccentric Shaft 6° 5000 lph (83 lpm) 5000 lph (83 lpm) 5000 lph (83 lpm)
Flow Rate Minimum Eccentric Shaft 6° 150 lph (2.5 lpm) 50 lph (0.83 lpm) 50 lph (0.83 lpm)
Pressure Temperature of Fluid < 40°C (104°F) 6 bar (87 psi) 6 bar (87 psi) 6 bar (87 psi)
Temperature of Fluid > 40°C (104°F) 4 bar (58 psi) 4 bar (58 psi) 4 bar (58 psi)
Maximum Temperature Fluid 80°C (176°F) 80°C (176°F) 80°C (176°F)
CIP 90°C (194°F) 90°C (194°F) 90°C (194°F)
SIP 130°C (266°F) 130°C (266°F) 130°C (266°F)
Autoclave 130°C (266°F) 130°C (266°F) 130°C (266°F)
Suction Lift Dry at 1200 rpm Eccentric Shaft 6° 4 - 4.5 m (13.1 - 14.7 ft) 4 - 4.5 m (13.1 - 14.7 ft) 4 - 4.5 m (13.1 - 14.7 ft)
Volume Specifications Approximated Volume per Revolution at Free Output 95 ml 95 ml 95 ml
Filling Volume Without Connectors 820 ml 820 ml 820 ml
Connection Specification (Standard) Connectors 1.5" TC 1.5" TC 1.5" TC
Position of Connectors Front Front Front
Product Wetted Materials (Standard) Pump Housing SS316L SS316L SS316L
Valve Plate SS316L or PP SS316L SS316L
Diaphragms TPE TPE TPE
Valves EPDM/SS316L EPDM/SS316L EPDM/SS316L
O-rings EPDM EPDM EPDM
Certificates/Proofs (Optional) Elastomere (product wetted) USP <88> Cl. VI; FDA21CFR177; BSE/TSE Safe USP <88> Cl. VI; FDA21CFR177; BSE/TSE Safe USP <88> Cl. VI; FDA21CFR177; BSE/TSE Safe
Stainless Steel Parts (product wetted) 3.1; Surface Roughness; Ferrite Content 3.1; Surface Roughness; Ferrite Content 3.1; Surface Roughness; Ferrite Content
Motor (Standard) Rated speed 1455 min-1 (50 Hz) 3000 min-1 (50 Hz) 3000 min-1 (50 Hz)
Voltage 230 V/400 V 400 V* 3 x 230V / 3 x 400V
Power 2.2 kW 4.0 kW
Pump Dimension with Motor and Housing Length 852 mm (33.54") 790 mm (31.10") 670 mm (26.38")
Width 250 mm (9.84") 275 mm (10.83") 225 mm (8.86")
Height 333 mm (13.11") 393 mm (15.47") 233 mm (9.17")
Pump Weight with Motor and Housing 120 kg (265 lb) 90 kg (198 lb) 66.9 kg (147.5 lb) 

Other connection specifications, materials and motors available on request.
*3 x 230 V as option

Performance

Click on the images to enlarge.

Quattroflow Biopharma Pump QF4400S Performance Chart

QF4400S Eccentric Shaft 6° — Liter

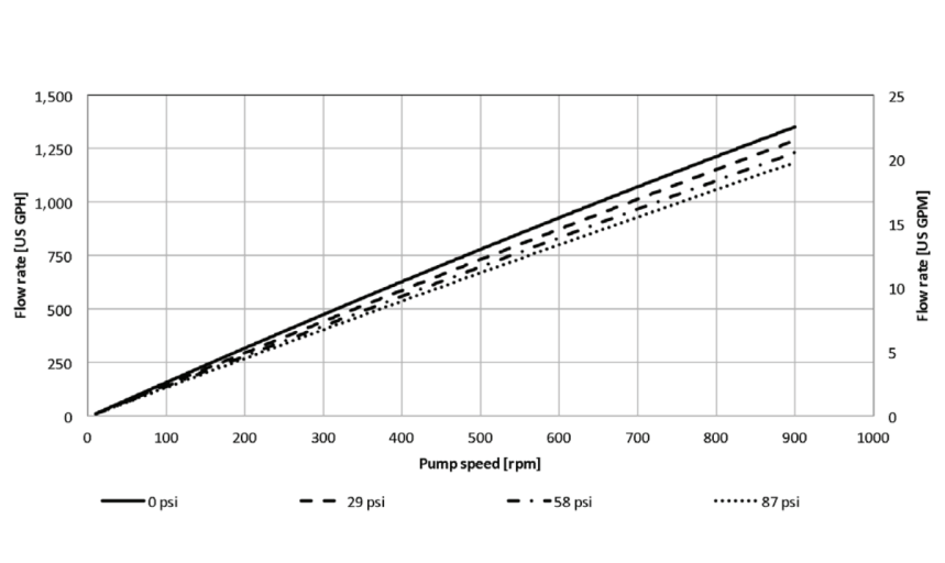
Quattroflow Biopharma Pump QF4400S Performance Chart

QF4400S Eccentric Shaft 6° — Gallon

Quattroflow Biopharma Pump QF4400S-HT Performance Chart

QF4400S-HT Eccentric Shaft 6° — Liter

Quattroflow Biopharma Pump QF4400S-HT Performance Chart

QF4400S-HT Eccentric Shaft 6° — Gallon

Downloads



Didn't find what you are looking for? Feel free to contact us, we look forward to hearing from you!