Abaque Logo
All-Flo Logo
Almatec Logo
Blackmer Logo
Ebsray Logo
em-tec Logo
Griswold Logo
Hydro Systems Logo
Malema Logo
Mouvex Logo
Neptune Logo
Quattroflow Logo
Wilden Logo
Quattroflow Biopharma Pump QF1200S Quattroflow Biopharma Pump QF1200S-CV Quattroflow Biopharma Pump QF1200S-HT Compact QF1200MU-OEM QF1200MU-ATEX

Quattroflow 1200S Max. Flow Rate 1200 lph

QF1200S

  • Stainless steel pump chamber
  • AC motor for operation for external VFD

QF1200S-HT

  • Integrated pump chamber, pump drive, motor and control box
  • Extended turndown ratio (200:1)
  • Digital key pad for manual operation
  • Compact size
  • Flexible single-phase 110-230 V power supply

QF1200-MU OEM

  • OEM design for easy skid integration
  • Extended turndown ratio
  • Global power supply and motor certification
  • Multiple accessories (VFD, Cable, Gasket) available
  • Flange adapters for additional motor types available

QF1200MU-ATEX

  • Ex-Markings
    • Complete pump unit: II 2G IIB T4 X
      • Pump head: II 2G Ex h IIC T4 Gb X
      • Motor: II 2G Ex db eb IIB T4 Gb
      • Coupling: II 2G Ex h IIC T4 Gb
  • Available Configurations
    • Complete pump units with AC motor without housing and base plate
    • Pump-head only for combination with own ATEX rated motorand coupling

Technical Data

Standard Motor QF1200S QF1200S-HT QF1200MU OEM QF1200MU-ATEX
Flow Rate Maximum Eccentric Shaft 3° 750 lph (12.5 lpm)
Eccentric Shaft 5° 1200 lph (20 lpm) 1200 lph (20 lpm) 1200 lph (20 lpm) 1200 lph (20 lpm)
Flow Rate Minimum * Eccentric Shaft 3° 10 lph (0.167 lpm)
Eccentric Shaft 5° 20 lph (0.333 lpm) 6 lph (0.1 lpm) 6 lph (0.1 lpm) 75 lph (1.25 lpm)
Pressure Temperature of Fluid < 40°C (104°F) 6 bar (87 psi) 6 bar (87 psi) 6 bar (87 psi) 6 bar (87 psi)
Temperature of Fluid > 40°C (104°F) 4 bar (58 psi) 4 bar (58 psi) 4 bar (58 psi) 4 bar (58 psi)
Maximum Temperature Fluid 80°C (176°F) 80°C (176°F) 80°C (176°F) 80°C (176°F)
CIP 90°C (194°F) 90°C (194°F) 90°C (194°F) 80°C (176°F)
SIP 130°C (266°F) 130°C (266°F) 130°C (266°F) 130°C (266°F)
Autoclave 130°C (266°F) 130°C (266°F) 130°C (266°F) 130°C (266°F)
Pump Speed Range rpm 30 – 2,400 10 – 2,400 115 – 2,400
Suction Lift Dry at 1800 rpm Eccentric Shaft 3° 2.5 – 3 m (8.2-9.8 ft)
Eccentric Shaft 5° 4 – 4.5 m (13.1-14.7 ft) 4 – 4.5 m (13.1-14.7 ft) 4 – 4.5 m (13.1 – 14.7 ft) 4 – 4.5 m (13.1-14.7 ft)
Volume Specifications Approximated Volume per Revolution at Free Output 9.6 ml (5°)
5.8 ml (3°)
9.6 ml 9.6 ml 9.6 ml
Filling Volume Without Connectors 75 ml 75 ml 75 ml 75 ml
Connection Specification (Standard) Connectors 3/4" TC 3/4" TC 3/4" TC 3/4" TC
Position of Connectors Inline Inline Inline Inline
Number of Flow Directions 4 4 4 4
Product Wetted Materials (Standard) Pump Housing SS316L SS316L SS316L SS316L
Valve Plate SS316L SS316L SS316L SS316L
Diaphragms TPE TPE TPE TPV
Valves EPDM EPDM EPDM EPDM
O-rings EPDM EPDM EPDM EPDM
Certificates/Proofs (Optional) Elastomere (product wetted) USP <88> Cl. VI; FDA21CFR177; BSE/TSE Safe USP <88> Cl. VI; FDA21CFR177; BSE/TSE Safe USP <88> Cl. VI; FDA21CFR177; BSE/TSE Safe USP <88> Cl. VI; FDA21CFR177; BSE/TSE Safe
Stainless Steel Parts (product wetted) 3.1; Surface Roughness; Ferrite Content 3.1; Surface Roughness; Ferrite Content 3.1; Surface Roughness; Ferrite Content 3.1; Surface Roughness; Ferrite Content
ATEX (Motor) II2G Ex dB eb IIB T4 Gb
ATEX (Coupling) II2G Ex h IIC T4 Gb
ATEX (Pump) II 2G Ex h IIC T4 Gb X
Motor (Standard) Rated speed 1375 min–1 (50 Hz) 2400 min–1 2400 min–1 1445 min–1 (50 Hz)
Voltage 230/400 V 110 – 230 V 3 x 230V / 3 x 400V 400V
Power 0.37 kW 0.485 kW 0.55 kW
Pump Dimension with Motor and Housing Length 487 mm (19.17") 489 mm (19.25") 387 mm (15.24") 535 mm (21.06")
Width 159 mm (6.26") 200 mm (7.87") 159 mm (6.26") 179 mm (7.05")
Height 210 mm (8.27") 220 mm (8.66") 163 mm (6.42") 328 mm (12.91")
Pump Weight with Motor and Housing 24 kg (53 lb) 25 kg (55 lb) 17.7 kg (39 lb)  41 kg (90.4 lb)

Other connection specifications, materials and motors available on request.
* When using pump with control box: 20 lph (0.333 lpm) and 40 lph (0.667 lpm)


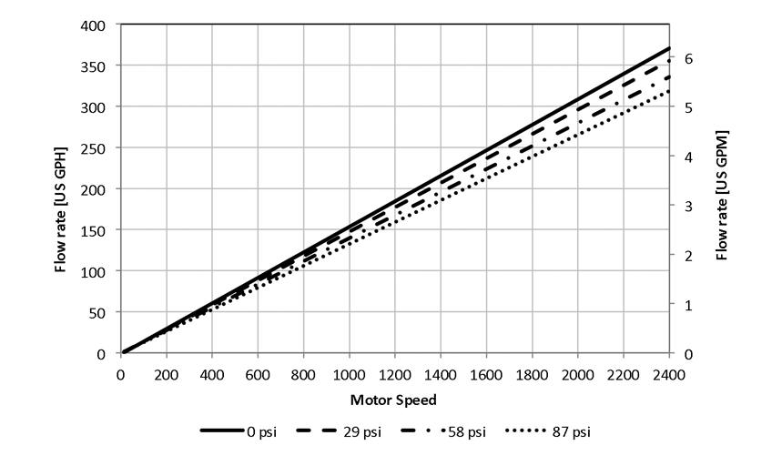
Performance

Click on the images to enlarge.

Quattroflow Biopharma Pump QF1200S Performance Chart

QF1200S Eccentric Shaft 5° — Liter

Quattroflow Biopharma Pump QF1200S-HT Performance Chart

QF1200S-HT Eccentric Shaft 5° — Gallon

Quattroflow Biopharma Pump QF1200S-HT Performance Chart

QF1200S-HT Eccentric Shaft 5° — Liter

Quattroflow Biopharma Pump QF1200S Performance Chart

QF1200S Eccentric Shaft 5° — Gallon

Downloads



Didn't find what you are looking for? Feel free to contact us, we look forward to hearing from you!